CAFE-Franck y Hertz
Experimento de Franck y Hertz
El clásico experimento de Franck y Hertz de 1914 confirmó el modelo atómico que Bohr propuso un año antes para interpretar el espectro de radiación del átomo de hidrógeno. Por su importancia los autores recibieron el premio Nobel. En el experimento original se bombardearon átomos de Hg con electrones obteniéndose información sobre las transferencias de energía desde el electrón incidente al átomo blanco. Dado que los niveles atómicos están cuantizados, la energía necesaria para transferir un electrón del átomo desde el estado fundamental a un estado excitado también toma valores discretos, los cuales pueden obtenerse a partir del experimento.
La configuración del mismo consiste en
- Filamento emisor de electrones (e).
- Electrodo de extracción: Se suele poner a un voltaje Ve positivo pequeño para atraer los e del filamento. Puede polarizarse negativamente también para monocromatizar un poco el haz de e.
- Electrodo de aceleración: Se polariza a un voltaje Va positivo con respecto al electrodo de extracción con el objeto de acelerar los e
- Electrodo colector: Colecta los e que llegan al mismo para medir la corriente. Se polariza a un voltaje de frenado Vf con respecto al electrodo de aceleración para medir sólo los e con energías superiores a ese valor.
El siguiente gráfico muestra el esquema de energía potencial durante el trayecto, teniendo en cuenta que los e tienen carga negativa.
- ¿Qué se espera observar?
Los e son acelerados por Ve + Va y se detectan como una corriente negativa a través del instrumento de medición. Mientras Ve + Va sea pequeño (y mayor a Vf), la corriente aumentará monótonamente pues los e solo pueden interactuar elásticamente con los átomos presentes en su trayectoria.
Cuando eVe + eVa iguale el valor de energía de una transición que se pueda excitar en los átomos, los e súbitamente perderán su energía cinética al entregarla a los átomos y no podrán superar la barrera final provista por eVf, originándose una caída en la corriente.
A partir de este valor, la corriente volverá a aumentar monótonamente.
Al alcanzar eVe + eVa el doble (o cualquier múltiplo) de la energía de la transición, se volverá a repetir la entrega de energía (ahora en múltiples colisiones inelásticas) y consecuente reducción de corriente.
De esta manera se espera observar una serie de oscilaciones igualmente espaciadas en la corriente como función de Va. El período de estas oscilaciones mide la energía de la transición que se excita en los átomos (o moléculas), la cual podría ser una transición electrónica, o la ionización.
- Descripción del setup
El filamento consiste en un alambre de W de 0.25 mm de diámetro. Se monta entre dos postes mordaza, lo cual le da una forma ligeramente asimétrica. Se dobló en forma de V y se acercó la punta de la V a aproximadamente 1 mm del electrodo de extracción.
Los electrodos se construyeron en base a una lámina de Aluminio de 0.2 mm de espesor. Con una fresadora numérica se taladraron agujeros de 0.6 mm de diametro en un arreglo cuadrado de parámetro 1.1 mm. Esto da una transparencia óptica de 23%, que a través de dos electrodos da una transparencia total de 5.4%.
Estos electrodos se montaron en postes tipo mordaza de bronce, los cuales se montaron con anillos de bronce sobre un tubo de vidrio de 10 mm de diámetro. Esto permite ajustar la distancia entre electrodos en forma contínua. Las distancias entre electrodos son aproximadamente:
- Punta de filamento a Electrodo de extracción: 1 mm
- Electrodo de extracción a Electrodo de aceleración: 12 cm
- Electrodo de aceleración a Electrodo colector: 5 mm
Las siguientes fotos muestran la configuración del equipo
|
|
|
- Electrónica de medición
La electrónica de medición se confeccionó en base a:
- Fuente de corriente Hewlett Packard P 6002A: Alimentación de filamento a 5.4 A, 2 V
- Triple Fuente de voltaje Hewlett Packard E3631A: Generación de Ve y Vf
- Electrómetro Keithley 6517B: Aplicación de Va y medición de corriente.
La siguiente figura muestra el circuito de medición asociado a los electrodos. Las resistencias en paralelo con el filamento fijan el punto medio del mismo a Ve.
La adquisición se realizó en LabView con el programa Archivo:IV con electrometro Keithley 6517B.vi
- Resultados
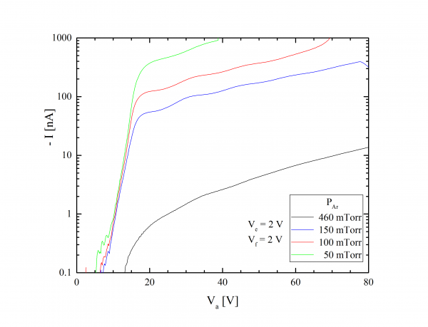
La cámara se llenó con gas Ar a presión PAr y se midieron las curvas de corriente en función de Va para diferentes Vf y PAr. En todos los casos se mantuvo Ve = 2 V. La presión se midió con un manómetro Convectrón Granville-Philips 275, por lo que los valores medidos indican equivalente a N2. Según el manual de este manómetro, los valores reales de PAr son 60% mayores que los equivalente a N2. De todas maneras, en el setup el manómetro está ubicado cerca de la boca de la bomba de vacío, lejos de la cámara, lo que puede falsear la lectura. Por ello no se corrigen los valores medidos.
En los siguientes gráficos se puede ver la dependencia de I vs Va para diferentes PAr y para diferentes Vf
|
|
Se pueden destacar las siguientes características en los datos:
- Se observan las oscilaciones debidas a la ionización del Ar, a un potencial de 15.76 eV
- Estas oscilaciones se observan en un amplio rango de PAr
- Las oscilaciones son mas importantes, en forma relativa a la I medida, para mayores Vf
- Si bien se espera que la corriente aumente con Va, esta parece mostrar un onset alrededor del potencial de ionización del Ar.
- Sugerencias para mejorar el setup
- Reemplazar el tubo de vidrio por algo más sólido, como una barra de cerámica compatible con alto vacío.
- Eliminar las soldaduras de estaño, reemplazándolas por soldaduras de punto o terminales de presión sobre el alambre.
- Ubicar el manómetro y la válvula de aguja directamente en la cámara, si es posible.
- Utilizar para la medición otro gas que presente transiciones en el visible. Lo tradicional es usar Hg, pero en tubos cerrados. No recomiendo usarlo en este setup.






